20191122手动选题组卷
副标题
题号 | 一 | 二 | 三 | 总分 |
得分 |
|
|
|
|
一、选择题(本大题共27小题,共81.0分)
A. 1个B. 2个C. 3个D. 4个
【答案】D
【解析】【分析】
本题考查的知识点较多:三角形的高线、余角和补角的定义、平行线的性质、正方形的面积、同位角的定义以及尺规作图,但难度不大,属于直接运用,熟练掌握这些定义和性质是关键.
三角形的三条高交于同一点,锐角三角形交在内部,钝角三角形交在外部,直角三角形交在直角顶点上;
设这个角为
,分别表示出其补角和余角,计算其差即可;
垂直于同一条直线,同位角是直角,又同位角相等,所以两条直线互相平行;
两直线平行,同位角相等,两直线相交,不能构成同位角;
根据正方形的面积得出结论;
通过画图说明.
【解答】
解:
三角形的三条高交于同一点,所以此选项说法正确;
设这个角为
,则这个角的补角表示为
,这个角的余角表示为
,
,
一个角的补角比这个角的余角大
;
所以此选项说法正确;
垂直于同一条直线的两条直线互相平行,所以此选项说法错误;
两直线平行,同位角相等,所以此选项说法错误;
因为正方形的面积是边长的平方,所以面积相等的两个正方形边长相等,且四个角又是直角,所以是全等图形,
所以此选项说法正确;
如下图,已知
,
,
,所以
和
满足两边及一角对应相等,但两三角形明显不全等,即不能唯一作出三角形.
所以此选项说法正确;
所以此题说法正确的有:
,一共4个,
故选D.
A.
B.
C.
或10D. ![]()
【答案】D
【解析】解:根据三角形的三边关系,得
,
则
.
当三点在同一直线上时,
或10
故选:D.
根据三角形的三边关系“任意两边之和大于第三边,任意两边之差小于第三边”,进行分析求解.
此题主要考查了三角形的三边关系,注意理解如何根据已知的两条边求第三边的范围.
A.
B.
C.
D. 
【答案】A
【解析】解:A、根据D、E分别为各边的中点,可得AD是
的中线,BE、CE分别是
和
的中线,故
、
、
、
四个区域面积相等;
B、根据
,
,可得DE、DF不是中线,故不能得出
、
、
、
四个区域面积相等;
C、根据AE平分
,AF平分
,可得AE,AD,AF不是中线,故不能得出
、
、
、
四个区域面积相等;
D、根据AE平分
,可得AE不是
的中线,故不能得出
、
、
、
四个区域面积全相等;
故选:A.
三角形的中线将三角形分成面积相等的两部分,据此进行判断即可.
本题主要考查了等边三角形的性质以及三角形的面积的运用,解题时注意:三角形的中线将三角形分成面积相等的两部分.
A. 5种B. 6种C. 7种D. 8种
【答案】C
【解析】【分析】
此题主要考查学生对三角形三边关系的理解及运用能力,注意不能构成三角形的情况一定要排除,已知三角形的周长,分别假设三角形的最长边,从而利用三角形三边关系进行验证即可求得不同的截法.
【解答】
解:
长棒的长度为15cm,
即三角形的周长为15cm
当三角形的最长边为7时,有4种截法,
分别是:7,7,1;7,6,2;7,5,3;7,4,4;
当三角形的最长边为6时,有2种截法,分别是:6,6,3;6,5,4;
当三角形的最长边为5时,有1种截法,是:5,5,5;
当三角形的最长边为4时,有1种截法,是4,3,8,
因为
,所以此截法不可行;
不同的截法有:
种.
故选C.
A.
B. ![]()
C.
或
D.
或![]()
【答案】B
【解析】【分析】
此题考查了三角形三边关系,等腰三角形的性质,分类讨论思想,解决本题的关键是注意对等腰三角形的边进行讨论,看是否满足三角形的三边关系,不满足的舍去,满足的根据三角形的周长公式计算即可.
【解答】
解:
若腰长为3时,
三边为3,3,
,
此时
,
故此情况不合题意,舍去;
若腰长为
时,
三边为3,
,
,
此时
,
这个三角形的周长为
,
故选B.
A. 4个B. 3个C. 2个D. 1个
【答案】D
【解析】【分析】
本题考查了三角形的定义,以及三角形的角平分线、高线、中线,是基础题,需熟记.
根据三角形的定义,三角形的角平分线、高线、中线对各选项分析判断后利用排除法求解.
【解答】
解:
应为三条线段首尾顺次相接组成的图形叫做三角形,故本说法错误;
三角形的角平分线是线段,故本说法错误;
三角形的三条高所在的直线相交于一点,这一点不在三角形的内部,就在三角形的外部,也有可能是直角三角形的直角顶点,故本说法错误;
三角形的三条中线相交于一点,且这点一定在三角形的内部,正确,
综上所述,正确的有
共1个.
故选D.
A. 2个B. 3个C. 4个D. 5个
【答案】C
【解析】【分析】
本题考查了角平分线的性质,全等三角形的判定与性质,平行线的判定,等边对等角的性质,比较复杂,熟记性质并准确识图是解题的关键.
利用“HL”证明
和
全等,根据全等三角形对应边相等可得
;全等三角形对应角相等可得
,再根据等边对等角可得
,从而得到
,然后根据内错角相等,两直线平行可得
;根据角平分线的性质判定定理判断AP平分
,同时判断出PA平分
,欲证
和
全等,须得
,而此条件无法得到,所以,两三角形不一定全等.
【解答】
解:
,
,
,
在
和
中,
,
≌
,
,故
正确;
,
,
,
,
,故
正确;
,
,
,
平分
,故
正确;
,
,
,
平分
,故
正确;
假设
≌
,
则
,
此条件无法从题目得到,
所以,假设不成立,故
错误.
综上所述,正确的是
.
故选C.
A. 0个
B. 1个
C. 2个
D. 3个
|
【答案】D
【解析】【分析】
此题考查了旋转的性质,全等三角形的判定与性质,正方形的性质,勾股定理,熟练掌握性质与定理是解本题的关键,由四边形ABCD与四边形CEFG都为正方形,得到四条边相等,四个角为直角,利用SAS得到三角形BCE与三角形DCG全等,利用全等三角形对应边相等即可得到
,利用全等三角形对应角相等得到
,利用等角的余角相等及直角的定义得到
为直角,利用勾股定理求出所求式子的值即可.
【解答】
解:如图,设BE,DG交于O.
四边形ABCD和CEFG都为正方形,
,
,
,
,即
.
在
和
中,
,
≌
,
,
,
,
,
,
;故
正确;
连接BD,EG,如图所示,
,
,
则
,故
正确.
故选D.
A. 一个B. 两个C. 三个D. 四个
【答案】D
【解析】【分析】
作直线
、
、
所围成的三角形的外角平分线和内角平分线,外角平分线相交于点
、
、
,内角平分线相交于点
,然后根据角平分线的性质进行判断.
本题主要考查了角平分线上的点到角的两边的距离相等的性质,熟记性质是解题的关键.
【解答】
解:作直线
、
、
所围成的
的外角平分线和内角平分线,
内角平分线相交于点
,外角平分线相交于点
、
、
,
根据角平分线的性质可得,这4个点到三条直线的距离分别相等.
故选:D.
A. 2B. 3C. 4D. 5
【答案】C
【解析】【分析】
本题考查的是角平分线的性质、全等三角形的判定与性质,根据题意作出辅助线,构造出全等三角形是解答此题的关键
由三角形内角和定理和角平分线得出
【解答】
解:
,
,
角平分线BD,CExji相交于点I,
,
在三角形ABC中,
,![]()
故
正确;![]()
在BC上截去
,
在三角形BIE和三角形BGI中,
,
,
,
,
,
和
中,
,
,
,
,
,故
正确;
角平分线BD,CE相交于点I,
连接AI,则AI平分
,
故
正确;
由题意,点I到AB、BC、AC距离相等,设为h,
面积和
的面积,
故
正确;
只有在
时才成立.
綜上所述,正确的是
共4个.
故选C.
A.
B. 2C.
D. 4
【答案】D
【解析】【分析】
本题考查的是角平分线的性质,全等三角形的判定与性质有关知识,根据角平分线的性质,全等三角形的判定与性质对所给的结论进行解答即可.
【解答】
解:
是
的角平分线,
,
,
,
正确,
,
在
和
中
,
,
,故
正确,
,
垂直平分EF,故
正确,
,
,
,
,
,故
正确,
同理可得点G不一定是
的重心,故
错误.
故选D.

A. 1个B. 2个C. 3个D. 4个
【答案】D
【解析】解:
、
为等边三角形,
,
,
,
,
,
在
和
中,
,
≌
,
正确;
≌
,
,
,
,
正确;
在
和
中,
,
≌
,
,
为等边三角形,
正确;
,
,
是等边三角形,
,
,
,
故
正确.
故选D.
由等边三角形的性质得出
,
,
,得出
,由SAS即可证出
≌
;
由
≌
,得出
,根据三角形外角的性质得出
;
由ASA证明
≌
,得出对应边相等
,即可得出
为等边三角形;
推出
是等边三角形,得到
,根据平行线的性质即可得到
,故
正确.
此题考查了等边三角形的判定与性质与全等三角形的判定与性质,平行线的判定和性质,此题图形比较复杂,解题的关键是仔细识图,找准全等的三角形.
A.
B.
C.
D. ![]()
【答案】B
【解析】【分析】
本题考查了等腰三角形的判定:如果一个三角形有两个角相等,那么这两个角所对的边也相等
也考查了坐标与图形性质
先利用勾股定理计算出
,然后利用等腰三角形的判定方法对各选项进行判断.
【解答】
解:
,
,
,
当D点坐标为
时,只能作以PD、PA为腰的等腰三角形;
当D点坐标为
时,可作以PD、PA为腰的等腰三角形也可作AP、AD为腰的等腰三角形
此时P点在B点
;
当D点坐标为
时,只能作以AP、AD为腰的等腰三角形;
当D点坐标为
时,只能作以AP、AD为腰的等腰三角形
此时P点在B点
.
故选B.

A.
B.
C.
D. ![]()
【答案】A
【解析】解:如图,作
轴于H,连接CE.
,
,
,
,
,
≌
,
,
,
,
,
点E在直线
上运动,作
,则
是等腰直角三角形,
,
,
的最小值为
.
故选:A.
如图,作
轴于H,连接
利用全等三角形的性质证明
,推出点E在直线
上运动,作
,求出
的长即可解决问题;
本题考查旋转变换,正方形的性质,全等三角形的判定和性质,等腰直角三角形的判定和性质,垂线段最短,一次函数等知识,解题的关键是学会添加常用辅助线,构造全等三角形解决问题,学会用转化的思想思考问题,属于中考选择题中的压轴题.
|
A.
B.
C.
D. ![]()
【答案】D
【解析】
【分析】
由旋转的性质可知,
,
,可知
,在等腰
中,根据三角形内角和定理可得
,由此可得旋转角
的大小.
本题主要考查了旋转的性质,等腰三角形的性质以及三角形内角和定理的综合应用,解题时注意:对应点与旋转中心所连线段的夹角等于旋转角,旋转前、后的图形全等.
【解答】
解:由旋转得
,
,
,
等腰
中,
,
,
中,
,
,
,
故选:D.
A.
B.
或
C.
D. 5
【答案】A
【解析】
解:过A点作
于F,连结AP,
中,
,
,
,
中,
,
,![]()
.
故选:A.
过A点作
于F,连结AP,根据等腰三角形三线合一的性质和勾股定理可得AF的长,由图形得
,代入数值,解答出即可.
本题主要考查了勾股定理、等腰三角形的性质,解答时注意,将一个三角形的面积转化成两个三角形的面积和;体现了转化思想.
A. 总不小于2B. 总不小于7C. 可为任何实数D. 可能为负数
【答案】A
【解析】【分析】
主要利用拆分重组的方法凑完全平方式,把未知数都凑成完全平方式,就能判断该代数式的值的范围
要求掌握完全平方公式,并会熟练运用.
要把代数式
进行拆分重组凑完全平方式,来判断其值的范围.
【解答】
解:
,
,
,
,
.
故选A.
A. 25B. 19C. 31D. 37
【答案】D
【解析】【分析】
先根据完全平方公式得到原式
,然后利用整体代入的方法计算.
本题考查了完全平方公式:
也考查了整体思想的运用.
【解答】
解:原式
,
,
,
原式
.
故选D.

A. 36B. 45C. 55D. 66
【答案】B
【解析】解:找规律发现
的第三项系数为
;
的第三项系数为
;
的第三项系数为
;
不难发现
的第三项系数为
,
展开式的第三项的系数是
.
故选:B.
根据图形中的规律即可求出
的展开式中第三项的系数.
此题考查了数字变化规律,通过观察、分析、归纳发现其中的规律,并应用发现的规律解决问题的能力.
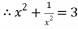
A. 0B. 1C. 2D. 3
【答案】D
【解析】解:
,
,
即
,
.
故选D.
把已知条件两边平方,然后利用完全平方公式展开整理即可得解.
本题考查了完全平方公式,解题的关键在于乘积二倍项不含字母.
A.
B. 2C.
D. 4
【答案】A
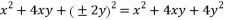
【解析】【解析】
本题考查了完全平方式,两数的平方和,再加上或减去它们积的2倍,就构成了一个完全平方式
注意积的2倍的符号,避免漏解
这里首项是x的平方,中间一项为4xy,最后一项应该是
,故
.
【解答】
是一个完全平方式,
![]()
,
,
故选A.
A. 4xB.
C.
D. 2x
【答案】D
【解析】【分析】
本题考查了完全平方公式,根据平方项确定出这两个数是解题的关键,难点在于要分a是平方项与积的2倍项两种情况讨论
根据完全平方公式讨论求解即可.
【解答】
解:
是平方项,则
是乘积的2倍项,
,
;
是乘积的2倍项,
,
;
综上所述,a可能是4x,
,
,
不可能是2x.
故选D.
A.
B. ![]()
C.
D. ![]()
【答案】D
【解析】【分析】
此题主要考查了分组分解法分解因式,熟练应用乘法公式分解因式是解题关键
将前两项和后两项分别提取公因式,进而结合平方差公式分解因式得出答案.
【解答】
解:![]()
![]()
![]()
.
故选D.
A. 2个B. 3个C. 4个D. 6个
【答案】D
【解析】【分析】
本题利用了十字相乘法分解因式,对常数20的正确分解是解题的关键
把
分解成两个因数的积,m等于这两个因数的和.
【解答】
解:
,
,
,
,
,
,
,
故选D.
A.
B. 1C.
D. 2
【答案】D
【解析】解:
,
可以分解为
,
,
,
,
,
,
故选D.
先根据多项式乘以多项式进行计算,得出方程
,
,求出即可.
本题考查了因式分解的定义的应用,关键是能根据已知得出关于a、b的方程组.
A. 1、3B. 3、5C. 6、8D. 7、9
【答案】D
【解析】【分析】
此题考查了因式分解的应用,涉及的知识有:平方差公式分解因式,二次运用平方差公式是解题的难点
将
中第一项利用幂的乘方逆运算法则变形后,利用平方差公式分解因式,继续利用幂的乘方逆运算法则变形后,利用平方差公式分解因式,根据
可以被0到10之间的某两个整数整除,即可得到两因式分别为7和
【解答】
解:![]()
![]()
![]()
![]()
![]()
![]()
,
则所求的两个数分别为7,9.
故选D.
A. 直角三角形B. 等腰三角形
C. 等腰三角形或直角三角形D. 等腰直角三角形
【答案】C
【解析】【分析】
本题考查了因式分解的应用,提取公因式并利用平方差公式分解因式得到a、b、c的关系式是解题的关键.
移项并分解因式,然后解方程求出a、b、c的关系,再确定出
的形状即可得解.
【解答】
解:移项得,
,
,
,
所以,
或
,
即
或
,
因此,
等腰三角形或直角三角形.
故选C.
二、填空题(本大题共3小题,共9.0分)
【答案】![]()
【解析】解:已知等式整理得:
,即
,
开方得:
,
故答案为:
原式利用平方差公式化简,整理即可求出
的值.
此题考查了平方差公式,熟练掌握平方差公式是解本题的关键.
【答案】0或![]()
【解析】【分析】
此题考查了多项式乘多项式,熟练掌握运算法则是解本题的关键;由已知等式为0确定出x的值,代入原式计算即可得到结果.
【解答】
解:
,且
,
,
解得:
或
,
则原式
或
.
故答案为0或
.
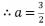
【答案】8
【解析】解:已知等式整理得:
,
可得
,
解得:
,
则
.
故答案为:8.
已知等式左边利用多项式乘以多项式法则计算,利用多项式相等的条件求出m与n的值,即可确定出所求式子的值.
此题考查了多项式乘多项式,熟练掌握运算法则是解本题的关键.
三、解答题(本大题共8小题,共64.0分)
【答案】
证明:在等腰直角三角形ABC中,
,
.
又
,
.
.
又
,
.
.
.
又
为BC的中点,
.
即
.
在
和
中,
,
≌
.
.
又
,
.
即
.
是等腰三角形,理由为:
连接AF,如图所示,
由
知:
≌
,
,
是等腰直角三角形,且BE是
的平分线,
垂直平分DF,
,
,
,
是等腰三角形.
【解析】
欲求证
,先证明
,需证明
,利用三角形全等,易证.
要判断
的形状,看其边有无关系
根据
的推导,易证
,从而判断其形状.
此题难度中等,考查全等三角形的判定和性质及等腰三角形性质和判定.
【答案】
证明:
,
,
,
,
,
,
,
在
和
中,
,
≌
,
,
,
,
;
解:图
中的结论不成立,
理由如下:
,
,
,
,
,
,
,
在
和
中,
,
≌
,
,
,
,
.
【解析】
利用互余关系证明
,又
,
,故可证
≌
,从而有
,
,即可得出结论;
类似于
的方法,证明
≌
,从而有
,
,可推出AM、BN与MN之间的数量关系.
本题考查了全等三角形的判定与性质
关键是利用互余关系推出对应角相等,证明三角形全等.

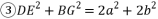
【答案】解:
,
,
,
,
在
和
中,
,
≌
,
.
≌
,
,
,
,
,
平分
.
不发生变化.
如图2,
≌
,
,
,
,
.
【解析】
利用SAS证明
≌
,根据全等三角形的对应边相等得到
.
根据
≌
,得到
,由
,得到
,利用等腰三角形的三线合一,即可得到AD平分
;
不发生变化
由
≌
,得到
,由对顶角相等得到
,根据三角形内角和为
,所以
,即
.
本题考查了全等三角形的性质定理与判定定理,解决本题的关键是证明
≌
.
|
【答案】
证明:连结CD,
在BC的中垂线上![]()
,![]()
AD平分![]()
![]()
![]()
在
和
中,
,
≌
,
;
解:由
可得,
≌
,
,
的周长
,![]()
![]()
.
【解析】
连接CD,根据垂直平分线性质可得
,可证
≌
,可得
;
根据
≌
得出
解答即可.
本题考查了直角三角形全等的判定,考查了垂直平分线的性质,考查了角平分线的性质,本题中求证
≌
是解题的关键.
|
【答案】解:
连接PQ,
由旋转性质有:
,
,
,
,
即
,
是正三角形,
,
,
是正三角形,
.
在
中,
,
,
,
,
.
【解析】
由旋转的性质可以证明
是等边三角形,即可解决问题.
利用勾股定理的逆定理证明
,由
,即可解决问题.
本题考查旋转变换、等边三角形的性质、勾股定理的逆定理等知识,解题的关键是灵活运用所学知识解决问题,属于中考常考题型.
|
【答案】![]()
![]()
【解析】解:
,
,
,
的垂直平分线交AB于点N,
,
,
故答案为:50;
是AB的垂直平分线,
,
的周长
,
,
的周长是14,
;
当点P与M重合时,
周长的值最小,
理由:
,
,
与M重合时,
,此时
最小,
周长的最小值
.
【分析】
根据等腰三角形的性质和线段垂直平分线的性质即可得到结论;
根据线段垂直平分线上的点到线段两端点的距离相等的性质可得
,然后求出
的周长
,再代入数据进行计算即可得解,
当点P与M重合时,
周长的值最小,于是得到结论.
本题主要考查了轴对称的性质,等腰三角形的性质,线段垂直平分线上的点到线段两端点的距离相等的性质,熟记性质是解题的关键.
解:原式![]()
![]()
![]()
![]()
![]()
此方法是抓住二次项和一次项的特点,然后加一项,使这三项为完全平方式,我们称这种方法为配方法。此题为用配方法分解因式。
请体会配方法的特点,然后用配方法解决下列问题:
分解因式:![]()
【答案】解:原式![]()
![]()
![]()
![]()
.
【解析】先根据阅读材料,将原式分组,使它能运用完全平方公式,然后再运用平方差公式进行因式分解即可.
【答案】解:
是等腰三角形,理由如下:
,b,c为
的三条边的长,
,
,
因式分解得:
,
,
,
是等腰三角形;
如图,作
底边BC上的高AD.
,
,
,
,
的面积
.
【解析】
由已知条件得出
,用分组分解法进行因式分解得出
,得出
,因此
,即可得出结论;
作
底边BC上的高
根据等腰三角形三线合一的性质得出
,利用勾股定理求出
,再根据三角形的面积公式即可求解.
本题考查了因式分解的应用、等腰三角形的判定、勾股定理以及面积的计算;运用因式分解求出
是解决问题的关键.
第1页,共1页